TinToll Performance Materials Co., Ltd.
TinToll Performance Materials Co., Ltd.

Polimerlerin oksidasyonu, renk değişiklikleri, pürüzlü yüzey morfolojisinin oluşumu, eriyik viskozitesindeki değişiklikler ve mekanik özelliklerde azalma gibi birçok istenmeyen etkiye yol açabilir. Polimerin veya nihai ürünün servis ömrünü etkileyebilir. Polimer yaşam döngüsünün her aşamasında, polimer reçinelerin üretimi ve depolanması sırasında, yüksek sıcaklıkta eriyik işleme işlemleri sırasında, reçinelerin maddelere işlenmesi sırasında, ve makalelerin kullanımı sırasında. Ayrıca, güneş ışığından UV ışınlarına maruz kalma da oksidasyon sürecini hızlandırır. Polimerler için fenolik antioksidanların eklenmesi, polimer malzemelerin oksidasyonunu ve bozulmasını engelleyebilir ve geciktirebilir.


Antioksidanlar genellikle birincil antioksidanlara ve ikincil antioksidanlara ayrılır. Birincil antioksidanlar, oksidasyon sırasında oluşan peroksi serbest radikalleri temizleyerek çalışır. Birincil antioksidanların iki ana sınıfı fenol antioksidanları ve aromatik aminleri engelliyor. Geniş bir sıcaklık aralığında etkilidirler, malzeme işleme ve uzun vadeli termal stabiliteyi geliştirirler.


Fosfat ve thioethers gibi ikincil antioksidanlar, hidroperoksitlerin ayrışması yoluyla çalışır. Fosfit, eriyik işleme işlemlerinin yüksek sıcaklıklarında en etkilidir, bu süre uzun süreli kullanım sıcaklıklarında katı fazda en iyi şekilde çalışır.

TINTOLLEngellenmiş fenolik antioksidanlar düşük volatilite, yüksek verim, hava solması ve hidrolize karşı direnç gösterir ve çok çeşitli uygulamalarda uygulanabilir.


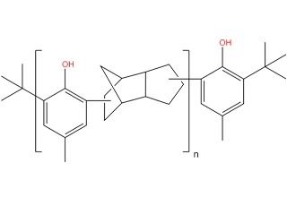
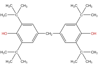
Engellenmiş fenol antioksidan HPAO türleri

Engellenmiş fenol antioksidan HPAO türleri

Engellenmiş fenol antioksidan HPAO detayları

Engellenmiş fenol antioksidan HPAO detayları

Engellenmiş fenol stabilizatörleri anaPlastikler için antioksidan katkı maddeleriVe hidrojen donörleri olarak hareket eder. Hidroperoksitler oluşturmak ve hidrojenin polimer omurgasından soyutlanmasını önlemek için peroksi radikallerle reaksiyona girerler. Fenolik stabilizatörler genellikle ikincil antioksidanlarla birlikte kullanılır ve çeşitli moleküler ağırlıklar, ürün formları ve işlevler halinde gelir. İşlem sırasında ve uzun süreli ısı yaşlanmasında çok etkilidirler ve birçoğu FDA onaylıdır. BunlarPolimer stabilizatörleriGenellikle boyama veya renk solmasına daha az eğilimlidir. Bununla birlikte, oksitlendiğinde quinoid yapıları oluşturabilirler ve sararmaya neden olurlar. PowerNoxTM fenolik antioksidanlar basit fenoller, spfenoller ve tiobifenoller içerir.


PowerNoxTM2640 (BHT) en yaygın kullanılan birincil antioksidandır ve gıda teması için FDA onaylıdır ve hemen hemen her durumda uzun vadeli bir stabilistabilizer olarak uygundur. Bununla birlikte, BHT, yavaş yavaş göç direnen daha yüksek molekül ağırlıklı antioksidanlar tarafından değiştirilen nispeten uçucu bir malzemedir.


Thiobisphenols ayrıca daha yüksek sıcaklık uygulamalarında sıklıkla kullanılan peroksit ayrıştırıcılar (ikincil antioksidanlar) olarak da hareket eder.

Bir örnek Reqest? Teklif istemek? Teknik soru? Bir distribütör bulmak?