TinToll Performance Materials Co., Ltd.
TinToll Performance Materials Co., Ltd.
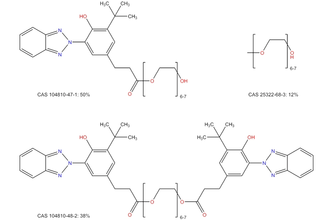
Mix. Α-[3-[3-(2H-benzotriazol-2-yl)-5-(1,1-dimetiletil)-4 hidroksifenil]-1-oksopropil]-ω-hidroksipoli (oxo-1, 2-etanediil)

PowerSorb™1130

CAS no. 104810-47-1; 104810-48-2; 25322-68-3

Mix. Α-[3-[3-(2H-benzotriazol-2-yl)-5-(1,1-dimetiletil)-4 hidroksifenil]-1-oksopropil]-ω-hidroksipoli (oxo-1, 2-etanediil); a-[ 3-[3-(2H-benzotriazol-2-yl)-5-(1,1-dimetiletil)-4-hidroksifenil]-1-oksopropil]-ω-[3-[3-(2H-benzotriazol-2-yl)-5-(1,1-dimetiletil)-4-hidroksifenil]-1-oksopropil] poli (oxy-1, 2-etandiil); Polietilenglikol 300


PowerSorb™1130, kaplamalar için özel olarak geliştirilmiş hidroksifenil-benzotriazol sınıfının sıvı bir UV emicisidir. En yaygın çözücülerde çözülür ve su bazlı sistemlerde çözünür.

TY_QT3 CAS no. 104810-47-1; 104810-48-2; 25322-68-3
Mix. Α-[3-[3-(2H-benzotriazol-2-yl)-5-(1,1-dimetiletil)-4 hidroksifenil]-1-oksopropil]-ω-hidroksipoli (oxo-1, 2-etanediil)

PowerSorb teknik verileri™1130 CAS no. 104810-47-1; 104810-48-2; 25322-68-3

EşanlamlılarTinuvin 1130, Eversorb 80, UV-1130

CAS numarası

104810-48-2 + 104810-47-1 + 5322-68-3

EINECS numarası

600-603-4 + 600-602-9 + 25322-68-3

Kimyasal yapı

mix.α 3 3 2h benzotriazol 2 yl 5 1,1 dimethylethyl 4hydroxyphenyl 1 oxopropyl ω hydroxypoly oxo 1,2 ethanediyl

Ambalaj

PowerSorb™PE astar ile net ağırlık 25Kg Fiber davul 1130 verilir.

Not

Broşürdeki tüm bilgiler mevcut bilgi ve deneyimlerimize dayanmaktadır. Teknolojik ilerlemeye veya daha fazla gelişmeye göre herhangi bir değişiklik yapma hakkını saklı tutarız. Burada açıklanan ürünün performansı test ile doğrulanmalıdır.


Belirli bir amaç veya satılabilirlik için başka bir ifade veya ima edilen uygunluğun garantisini özel olarak açıklıyoruz.


Herhangi bir tesadüfi veya sonuç olarak meydana gelen zararlar için sorumluluk alırız.

Powersorb'un faydaları ve uygulamaları™1130 CAS no. 104810-47-1; 104810-48-2; 25322-68-3

PowerSorb™1130 özellikle yüksek sıcaklık ve ekstraksiyon direnci ile endüstriyel ve otomotiv kaplamalar için uygundur.


PowerSorb™1130 ayrıca geniş UV emilimi nedeniyle ahşap ve plastik gibi ışığa duyarlı yüzeylere de verimli koruma sağlar.


PowerSorb™1130, su ve solvent bazlı kaplamaların korunması için plastik ve kaplamalarda HALS ile kullanılır. Bir konsantrasyon aralığını kapsayan çalışmalarda en uygun performans için gereken miktar belirlenmelidir.

Powersorb'un fiziksel özellikleri™1130 CAS no. 104810-47-1; 104810-48-2; 25322-68-3

Görünüm

Sarı açık amber sıvı

Erime noktası (° c)

73-77

Yoğunluk (20 ° c, g/cm3)

1.17

Viskozite (20 ° c, mPa · s)

7400

Çözeltinin rengi (460nm, %)

Min.95

Çözeltinin rengi (500nm, %)

Min.97

Konsantrasyon

50 ± 4%, CAS 104810-48-2

38 ± 3%, CAS 104810-47-1

12 ± 1.5%, CAS 25322-68-3

PowerSorb çözünürlüğü™1130 CAS no. 104810-47-1; 104810-48-2; 25322-68-3

Çözünürlük [20 ° c]

% W/w

Butil carbitol

> 50

Butanol

> 50

Butil asetat

> 50

Etil glikol

> 50

Hexane Dioldiacrylate

> 50

MEK

> 50

Trimetilol propan triakrilat

> 50

Ksilen

> 50

Su

<0.01


Size nasıl yardımcı olabiliriz?
Bir örnek Reqest? Teklif istemek? Teknik soru? Bir distribütör bulmak?
TY_RELATED_APPLICATIONS1 Benzotriazole UV emici
Mix. Α-[3-[3-(2H-benzotriazol-2-yl)-5-(1,1-dimetiletil)-4 hidroksifenil]-1-oksopropil]-ω-hidroksipoli (oxo-1, 2-etanediil)