TinToll Performance Materials Co., Ltd.
TinToll Performance Materials Co., Ltd.
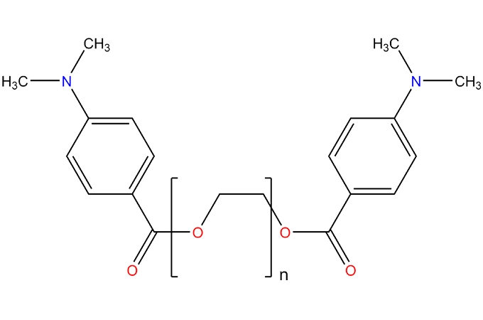
Poli (etilen glikol) bis (p-dimetilaminobenzoat)

PowerCure™ASA

CAS no. 71512-90-8

Poli (etilen glikol) bis (p-dimetilaminobenzoat)


PowerCure™ASA bir polimerik amin sinerjisttir. Mürekkeplerde kullanılmak üzere özel olarak tasarlanmış düşük göç ve düşük uçuculuğa sahiptir. Tip II fotobaşlatıcılar ile birlikte kullanmak özellikle uygundur. PowerCure™ASA, düşük göç ve düşük volatilite gerektiren mürekkeplerde kullanılmak üzere tasarlanmıştır.

TY_QT3 CAS no. 71512-90-8
Poli (etilen glikol) bis (p-dimetilaminobenzoat)

PowerCure teknik verileri™ASA CAS no. 71512-90-8

EşanlamlılarOmnipol ASA

CAS numarası

71512-90-8

Kimyasal yapı







poly ethylene glycol bis p dimethylaminobenzoate

Ambalaj

PowerCure™ASA 20Kg veya 200Kg tamburda tedarik edilir.

Not

Broşürdeki tüm bilgiler mevcut bilgi ve deneyimlerimize dayanmaktadır. Teknolojik ilerlemeye veya daha fazla gelişmeye göre herhangi bir değişiklik yapma hakkını saklı tutarız. Burada açıklanan ürünün performansı test ile doğrulanmalıdır.


Belirli bir amaç veya satılabilirlik için başka bir ifade veya ima edilen uygunluğun garantisini özel olarak açıklıyoruz.


Herhangi bir tesadüfi veya sonuç olarak meydana gelen zararlar için sorumluluk alırız.

PowerCure faydaları ve uygulamaları™ASA CAS no. 71512-90-8

PowerCure™ASA düşük göç ve düşük uçuculuğa sahiptir. BuAkrilatılmış amin sinerjistÖzellikle siyah ve koyu sistemler için uygundur.


PowerCure™ASA özellikle birlikte kullanmak için uygundurTip II fotobaşlatıcı. Önerilen doz 5 ~ 15%.

PowerCure fiziksel özellikleri™ASA CAS no. 71512-90-8

Görünüm

Sarı-kahverengi viskoz sıvı

EDB içeriği (HPLC)

Max.1.00 %

Kurutma kaybı (%)

Max.0.10


Size nasıl yardımcı olabiliriz?
Bir örnek Reqest? Teklif istemek? Teknik soru? Bir distribütör bulmak?
TY_RELATED_APPLICATIONS1 Amin sinerjistleri
Poli (etilen glikol) bis (p-dimetilaminobenzoat)