TinToll Performance Materials Co., Ltd.
TinToll Performance Materials Co., Ltd.
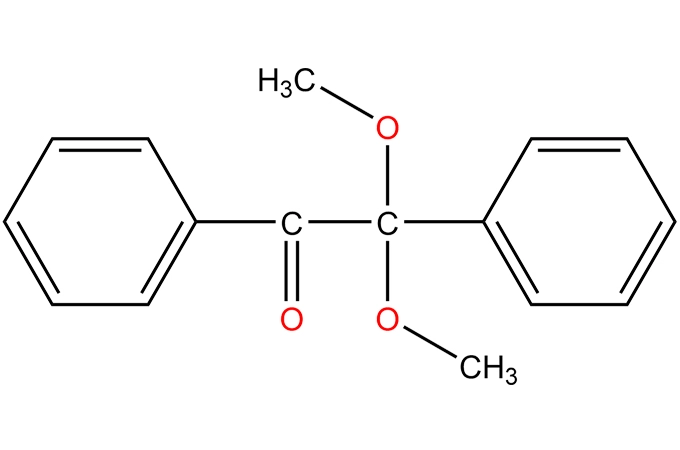
2,2-dimetoksi-2-fenilasetofenon

PowerCure™651

CAS no. 24650-42-8

2,2-dimetoksi-1,2-difenil-ethanon


PowerCure™651 akrilat polimerlerinin hazırlanmasında, örneğin radikal polimerizasyonunu başlatmak için kullanılan bir fotobaşlatıcı. Işığın etkisi altında olduğunda, molekül radikal polimerizasyonu başlatan radikalleri oluşturacaktır.

TY_QT3 CAS no. 24650-42-8
2,2-dimetoksi-2-fenilasetofenon

PowerCure teknik verileri™651 CAS no. 24650-42-8

EşanlamlılarOmnirad BDK, Irgacure 651

CAS numarası

24650-42-8

EINECS numarası

246-386-6

Kimyasal yapı

2,2 dimethoxy 2 phenylacetophenone

Kimyasal formül

C16H16O3

Moleküler ağırlık

256.3

Ambalaj

PowerCure™651 20Kg kartonda tedarik edilir.

Not

Broşürdeki tüm bilgiler mevcut bilgi ve deneyimlerimize dayanmaktadır. Teknolojik ilerlemeye veya daha fazla gelişmeye göre herhangi bir değişiklik yapma hakkını saklı tutarız. Bunun performansıTip I fotobaşlatıcıBurada açıklanan test ile doğrulanmalıdır.


Belirli bir amaç veya satılabilirlik için başka bir ifade veya ima edilen uygunluğun garantisini özel olarak açıklıyoruz.


Herhangi bir tesadüfi veya sonuç olarak meydana gelen zararlar için sorumluluk alırız.

PowerCure faydaları ve uygulamaları™651 CAS no. 24650-42-8

PowerCure™651, akrilik asit ve akrilat polimerizasyonunda, doymamış polyester sterin polimerizasyonunda ve çapraz bağlanmasında yaygın olarak kullanılmaktadır.


PowerCure™651 kaplamalar ve yapıştırıcılarda uygulanabilir ve esas olarak UV, kağıt ve metal boyaya uygulanan UV kürleme sisteminde UV (ultraviyole) kürleme maddesi olarak kullanılabilir.


PowerCure™651, esas olarak UV kürleme reaksiyonunun başlatıcısı olarak kullanılan yüksek verimli bir UV kürleme başlatıcısıdır.


PowerCure™651 analitik reaktif olarak kullanılır ve ışığa duyarlı reçine baskısı için kullanılır.

PowerCure fiziksel özellikleri™651 CAS no. 24650-42-8

Görünüm

Beyaz kristal

Erime noktası [° c]

67-70

Kaynama noktası [° c]

169

Yoğunluk

1.1320

Buhar basıncı [25 ° c, Pa]

0.002

Kırılma indeksi

1.5590

Test (%)

Min.99.0

Kül (%)

Max.0.1

Fp [° c]

190

Kurutma kaybı (%)

Max.0.5

Ateşlenen kalıntı (%)

Max.0.1

Su içeriği

Max.0.5

Benzoin kalıntısı (%)

0.2

İletim 425nm (%)

Min.95.0

İletim 450nm (%)

Min.96.0

Iletim 500nm (%)

Min.98.0

PowerCure çözünürlüğü™651 CAS no. 24650-42-8

Çözünürlük [20 ° c]

% W/w

Aseton

> 50

Metanol

41

Stiren

> 50

Butil asetat

> 50


Size nasıl yardımcı olabiliriz?
Bir örnek Reqest? Teklif istemek? Teknik soru? Bir distribütör bulmak?
TY_RELATED_APPLICATIONS1 Serbest radikal fotobaşlatıcılar-tip I
2,2-dimetoksi-2-fenilasetofenon